- Актуальные способы расчета усилий зажима для токарной обработки
- Расчет усилий фиксации для обработки сверлением
- Расчет усилий для фрезерной обработки
- Использование вспомогательных приспособлений
- Какие приспособления можно использовать при разовых операциях?
- Популярные вопросы о зажиме заготовок
- Можно ли усилить прижимные усилия посредством рычажно-шарнирных механизмов?
- Какие клиновые механизмы востребованы при зажиме заготовок?
- Каков принцип расчета величины силы зажима?
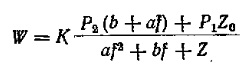
Актуальные способы расчета усилий зажима для токарной обработки
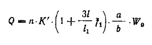
Токарная обработка предусматривает наружное и внутреннее воздействие резанием на вращающуюся деталь. Расчет усилий зажима производится с учетом диаметра заготовки, конфигурации патрона, коэффициента запаса, коэффициент трения и т.д.
Токарная обработка в кулачковом патроне
|
Схема патрона |
Изображение |
Формула расчета |
|
С рычажным приводом |
С рычажным приводом
|
С рычажным приводом
|
|
С клиновым приводом |
С рычажным приводом
|
С рычажным приводом
|
|
С винтовым приводом двухкулачковый |
С винтовым приводом двухкулачковый
|
С винтовым приводом двухкулачковый
|
Токарная обработка в цанговом патроне
|
Схема патрона |
Изображение |
Формула расчета |
|
Без упорного осевого элемента |
Без упорного осевого элемента
|
Без упорного осевого элемента
|
|
С упорным осевым элементом |
С упорным осевым элементом
|
С упорным осевым элементом
|
В случае организации токарной обработки на оправках используются следующие методики расчета усилия зажима заготовки.
|
Схема оправки |
Изображение |
Формула расчета |
|
Жесткая |
Жесткая
|
Жесткая
|
|
С разрезной втулкой |
С разрезной втулкой
|
С разрезной втулкой
|
|
С тарельчатыми пружинами |
С тарельчатыми пружинами
|
С тарельчатыми пружинами
|
Расчет силы зажима заготовки при использовании в токарном патроне с центрами выполняется по 3 формулам – для каждой схемы фиксации.
|
Схема центров |
Изображение |
Формула расчета |
|
С силовым приводом пиноли задней бабки |
С силовым приводом пиноли задней бабки
|
С силовым приводом пиноли задней бабки
|
|
С поводковым устройством |
С поводковым устройством
|
С поводковым устройством
|
|
С рифленым поводковым центром |
С рифленым поводковым центром
|
С рифленым поводковым центром
|
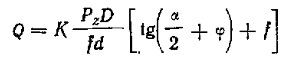
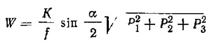
Расчет усилий фиксации для обработки сверлением
Обработка сверлением предполагает осевое воздействие металлорежущим инструментом в рамках заданной точки. В результате формируются глухие и сквозные отверстия.
При расчете силы зажима заготовки в приспособлении учитывается широкий спектр факторов:
- крутящий момент инструмента;
- количество единовременно используемых сверл;
- коэффициент трения;
- коэффициент запаса прочности и прочие параметры.
Ключевая задача – исключить вращение и смещение детали.
|
Схема фиксации |
Изображение |
Формула расчета |
|
При помощи прихватов |
При помощи прихватов
|
При помощи прихватов
|
|
В призмах |
В призмах
|
В призмах
|
|
Торцевая фиксация |
Торцевая фиксация
|
Торцевая фиксация
|
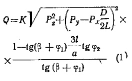
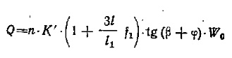
Расчет усилий для фрезерной обработки
Фрезерная обработка осуществляется посредством режущего многолезвийного инструмента. Он располагается внутри или снаружи заготовки. В первом случае формируются канавки, пазы и прочие дополнительные элементы, во втором – изменяется геометрия детали.
Расчет усилия зажима заготовки в приспособлении выполняется с учетом усилий резания, коэффициента трения, коэффициента запаса, а также количества удерживающих элементов.
|
Схема фиксации |
Изображение |
Формула расчета |
|
В тисках |
В тисках
|
В тисках
|
|
При помощи прихватов |
При помощи прихватов
|
При помощи прихватов
|
|
В призме |
В призме
|
В призме
|
|
С использованием центрального торцевого зажима |
С использованием центрального торцевого зажима
|
С использованием центрального торцевого зажима
|
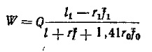
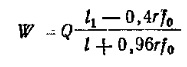
Использование вспомогательных приспособлений
Для повышения жесткости фиксации применяются рычажные приспособления. Чаще всего они задействуются при сверлении и фрезеровании. Рычаги создают дополнительные удерживающие точки способами, недоступными прочим крепежам.
Расчеты для устройств зажима заготовок выполняется с учетом прилагаемых и исходных усилий, коэффициентов трения и потерь на него.
|
Исполнение рычажного механизма |
Изображение |
Формула расчета |
|
1 |
1
|
1
|
|
2 |
2
|
2
|
|
3 |
3
|
3
|
|
4 |
4
|
4
|
|
5 |
5
|
5
|
Если при фиксации используются резьбовые соединения, учитывается материал их изготовления. Применяемые сплавы выдерживают определенные напряжения при статической и динамической нагрузке. Превышение значений приведет к ослаблению или разрушению крепежа.
Таблица 1. Допустимые напряжения материалов резьбовых элементов
Какие приспособления можно использовать при разовых операциях?
При разовых работах и операциях с низкой повторяемостью целесообразно использовать тиски, струбцины и прочие базовые приспособления. Они обеспечат умеренную точность позиционирования, позволят быстро справиться с задачей.







